必一·运动(B-Sports)官方网站理论与计算物理课题组徐一宁老师以重庆师范大学为第一单位在物理类权威期刊《Physical Review B》(TOP期刊、自然指数期刊)上发表题为“Persistent corner spin mode at the quantum critical point of a plaquette Heisenberg model”的学术论文。
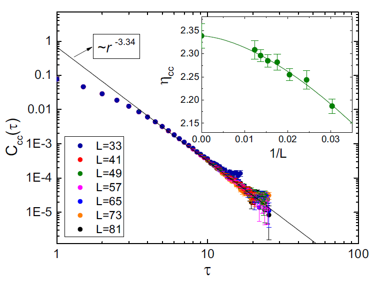
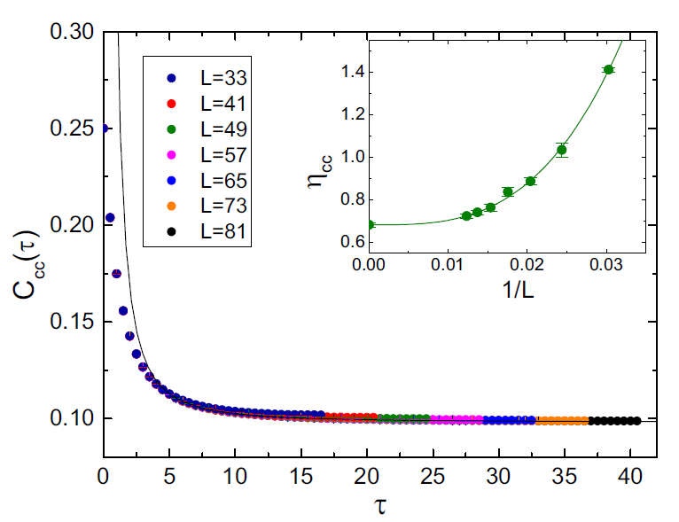
近年来,在量子系统中边界拓扑态已经成为重要方向之一。对于一些特殊系统,当其处于某些相时,体性质会反映在边界上,例如对称保护拓扑相通常表现为系统体内有能隙,而边界上存在无能隙的边界态。因此,通过研究边界的性质就能获得系统体内所处相的信息。在方格子上的块状海森堡模型中具有高阶对称性保护拓扑相,它是一种有能隙的量子无序相。考虑开边界条件,角自旋附近的键构型决定其具有自旋1/2的悬挂角态或无简并的非悬挂角态。本文研究了零维边界上在量子临界点的表面临界行为,发现悬挂的角态诱导了一种与常规表面临界行为不同的新的角临界行为普适类。特别地是,悬挂的自旋1/2角态在量子临界点上仍然存在,尽管它与体的临界自旋波动耦合。这表明了高阶对称性保护拓扑相角态的鲁棒性。


文章链接:https://journals.aps.org/prb/abstract/10.1103/PhysRevB.106.214409
初审:邓娜,复审:赵和平,终审:杨云